En un contexto global donde la tecnología parece depender exclusivamente de microchips y pantallas, el talento joven venezolano está demostrando que las leyes fundamentales de la naturaleza son las herramientas más poderosas. Una estudiante de bachillerato ha captado la atención de miles de usuarios al construir una garra hidráulica funcional utilizando materiales de bajo costo y una ejecución técnica impecable.
Lo que para muchos comenzó como un video viral, es en realidad una cátedra de ingeniería aplicada. Utilizando cartón reciclado, jeringas y mangueras de caucho, la joven logró diseñar un sistema de control de movimiento que permite levantar y desplazar objetos con una precisión asombrosa.
La ciencia detrás del cartón
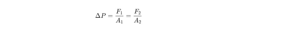
El proyecto es una demostración tangible del Principio de Pascal. Este postulado de la hidrostática establece que la presión ejercida sobre un fluido incompresible —en este caso, agua— dentro de un recipiente de paredes indeformables se transmite con igual intensidad en todas las direcciones y puntos del fluido.
La eficiencia del dispositivo se rige por la fórmula:

Gracias a esta relación, una pequeña fuerza aplicada por el usuario en una de las jeringas se traduce en un movimiento potente y controlado en el extremo de la garra, permitiendo que un material tan ligero como el cartón realice tareas de carga propias de maquinaria pesada.
Creatividad en tiempos de reto
A pesar de las dificultades que atraviesa el sector educativo en el país, esta iniciativa resalta dos pilares fundamentales para el desarrollo nacional:
- Creatividad con propósito: El uso de materiales reciclables demuestra que la falta de laboratorios de alta tecnología no es una barrera infranqueable para la comprensión del mundo físico.
- Impulso a las carreras STEM: Al compartir este tipo de logros en plataformas digitales, la joven se convierte en una promotora orgánica de la Ciencia, Tecnología, Ingeniería y Matemáticas (STEM), inspirando a otros estudiantes a ver la física no como una teoría árida, sino como una herramienta para crear.
Este proyecto es un recordatorio de que el talento en Venezuela sigue vibrando, transformando elementos cotidianos en lecciones magistrales de ingeniería y esperanza.
Mantente al día con lo último de nuestra programación y noticias.
Únete a nuestro canal en Telegram¿Eres artista o comunicador y quieres que difundamos tu trabajo?
Envíanos tus notas y música a:otilcaradio@gmail.com
¡Impulsamos tu talento!
Mantente al día con lo último de nuestra programación y noticias.
Únete a nuestro canal en TelegramEnvíanos tus notas a: otilcaradio@gmail.com
También te puede interesar:
Inversión Social Estratégica
Súmese a nuestro modelo de Sostenibilidad Cultural y Educativa. Transforme su aporte en impacto social medible a través de criterios ESG.
Aportes Directos (Venezuela - Pago Móvil):










